OPERATIONS AND
LIMITATIONS OF ELECTRIC SPRINGS
For a load that can be divided into two
parts: a noncritical load and a critical load , as in Fig. 4. By connecting an
electric spring in series with the noncritical load, we can ensure that the voltage
and power at the critical load to remain constant when the line voltage feeding
the load fluctuates. Such an arrangement of load will be called “smart load.”
The aim of the electric spring in the application example of Fig. 4 is to
restore to the nominal value of the mains voltage at the location of the device
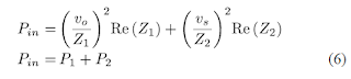
installation. Let be the dynamically-changing input power. The general power
balance equation for the system in Fig. 4 is
where and are the root-mean-square values
of the noncritical load voltage and the ac mains voltage, respectively; is the
real part of that represents the resistive element is the impedance of the “noncritical” load and is the impedance of the “critical”
load. The vector equation for the electric spring is
Equation (6) shows that, if the mains
voltage is regulated by the electric spring at the nominal value, the second
power term should remain constant for the critical load. If the power generated
cannot meet the full power for both and, the input-voltage control of the electric
spring will generate a voltage vector to keep regulated at . From (7), the voltage
vector across will be reduced and so the power consumption of will also be
reduced. Therefore, if the electric spring performs well, for the critical load
should remain constant as expected and for the noncritical load should follow
the power generation profile.
Fig.
3.1.1. Operating modes of the electric spring to maintain to for a noncritical
load comprising resistive inductive load. (a) Neutral (b) Inductive mode
(noncritical load power reduction for voltage boosting) (c) Capacitive mode
(noncritical load power boosting for voltage reduction).
This
explanation becomes obvious if Z1 and Z2 are considered as
pure resistive loads R1 and R2  respectively. The scalar (6) will become
If vs
is kept constant by the electric spring, the only variable on the right-hand side of (8) is the electric
spring voltage . Critical load power is a constant. The variation of will
reduce so that the sum of and will follow the profile of . In other word, the
electric spring allows the load power consumption to automatically follow the
power generation—which is the new control paradigm required by future power
systems with substantial intermittent renewable energy sources .
Like a
mechanical spring which cannot be extended beyond a certain displacement,
electric spring also has its operating limits. Fig. 6(a)–6(c) shows the vector
diagrams of the system (Fig. 4) with the electric spring under three operating
modes for a noncritical load comprising an inductive-resistive load (e.g., a
lighting load). The circle in the vector diagram represents the nominal value
of the mains voltage (e.g., 220 V). The vectors are assumed to rotate in an
anticlockwise direction at the mains frequency (e.g., 50 Hz). Fig. 6(a) depicts
the situation when the electric spring is in a “neutral” position in which.
This refers to the situation that the power generated by the renewable power
source (such as a wind farm) is sufficient to meet the load demand and
simultaneously maintain at the nominal value of . Fig. 6(b) represents the
situation when power reduction in is needed in order to keep vs at vs_ref
 . Here va  is positive (making vo less than vs_ref
 ) in order to provide the “power
reduction” function under the inductive mode of the electric spring.

Fig.
3.1.2 Schematic of an electric power system with an electric spring connected
in series with a dissipative electric load Z1.
            If
the generated power is higher than the load demand ,vs will exceed vs_ref
, resulting in an over-voltage situation. In order to regulate vs at
vs_ref Fig. 6(c) shows that the electric spring can provide “power
boosting” function by operating under the capacitive mode. Here vo
is increased, with respect to its value in Fig. 6(b), in order that the load Z1
can consume more power generated by the renewable energy source to keep the
power balance. The scalar equation for electric spring voltage vector va
under the capacitive mode [Fig. 6(b)] and inductive mode [Fig. 6(c)] is given
in (9).
 
Fig.4.3.2
  Operating modes of the electric spring to
maintain vs to vs_ref for a resistive noncritical load in
a power system with source impedance of a network box. (a) Neutral va =0
. (b) Capacitive mode. (c) Inductive mode.



